Описание
Характеристики
Отзывы
Описание
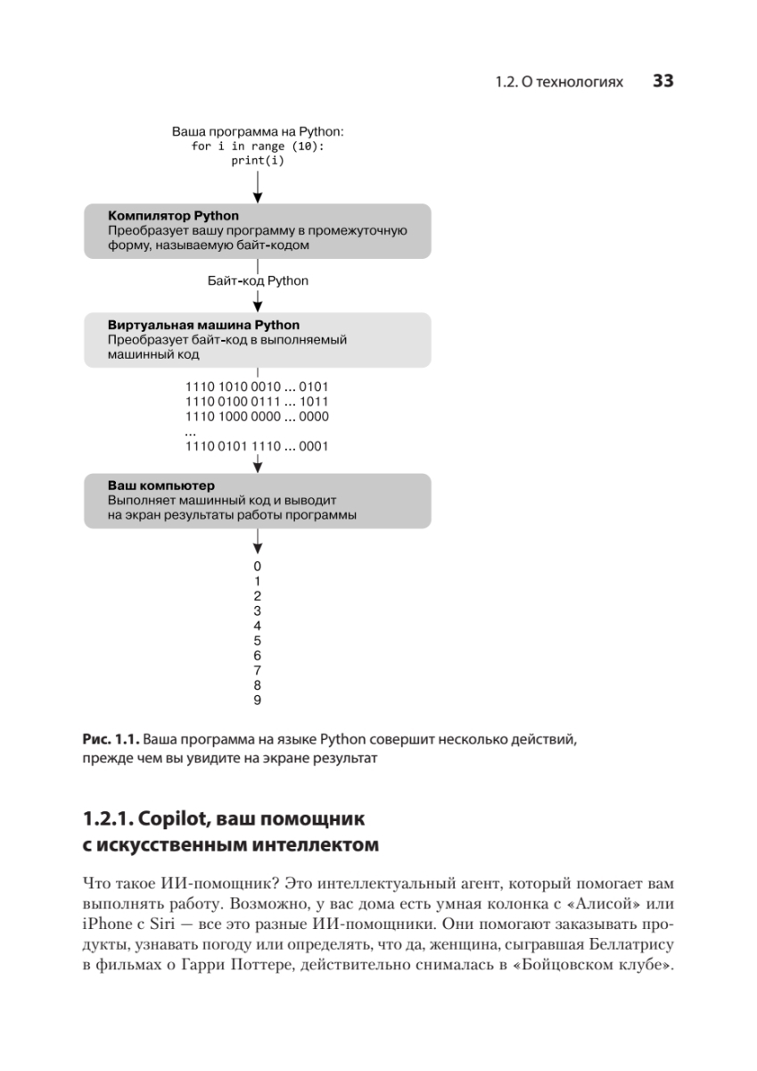
В наши дни люди пишут компьютерные программы совсем не так, как раньше. Используя GitHub Copilot, можно простым языком описать, что должна делать программа, а искусственный интеллект тут же сгенерирует ее.
Узнайте, как создавать и улучшать программы на Python с помощью ИИ, даже если прежде вы не написали ни строчки компьютерного кода. Сэкономьте время на рутинном программировании и воспользуйтесь услугами ИИ, способного мгновенно воплотить ваши идеи в жизнь. Заодно выучите Python!
Характеристики
Автор
Лео Портер, Даниэль Зингаро
Стандарт упаковки
6
ISBN
978-5-4461-4077-0
Серия
Библиотека программиста
Издательство
ПИТЕР
Год
2 024
Формат
70х100/16
Обложка/переплёт
Обл Ц
Объём, количество страниц
336
Вес ,г.
548
Ограничение по возрасту
16+
Страна производства
Россия
Переводчик
Сенченкова Елена Анатольевна
Высота, мм
233
Ширина, мм
165
Толщина, мм
17
Все характеристики
Отзывы
Отзывов еще никто не оставлял
